(2024年12月修订)
2023级学生转专业按照《普通高等学校学生管理规定》(中华人民共和国教育部令第41号)《外围十大玩球app普通本科生转专业管理办法(修订)》(武大本字〔2017〕50号)《外围十大玩球app全日制普通本科招生章程》《外围十大玩球app高水平运动员学生学籍管理办法》(武大本字〔2022〕20号)中转专业的相关规定执行。
一、有下列情况之一的,不予考虑转专业
1.三年级及以上的学生;
2.正在休学、保留学籍或应予退学的学生;
3.国防生、艺术类专业学生、强基计划学生、非西藏生源定向西藏就业学生;建筑学(中外合作办学)、马克思主义理论、公共卫生与预防医学类、护理学专业新生中高考成绩低于同省同科类其他专业普通类计划录取最低分,高考综合改革及合并本科批次的省份低于同省同科类普通本科批次外围十大玩球app普通类或征集志愿录取的学生;
4.2022级及以后的高水平运动员;
5.四、五年制专业学生不得转入5+3一体化专业,四、五年制,5+3一体化专业学生不得转入八年制专业;
6.外语类保送生不得转至非外语类专业;
7.其他不符合转专业条件的学生。
二.转专业人数控制标准
1.学院不限制符合转专业条件学生的转出申请;
2.学院根据各专业的建设规划、招生规模、现有教育教学资源和办学条件拟定玩滚球官网三个专业(电气工程及其自动化、自动化、储能科学与工程),2025年春季各专业接受转入人数上限分别为10、20、15人。
三、申请转入玩滚球官网相关专业的学生,应具备下列条件:
1.热爱祖国,勤学上进,品行端正;
2.高考入学为理科生,且必须有物理成绩;
3. 对所转专业有一定的特长和志向;
4.已取得我校学籍,在读2023级的全日制本科生;
四、转专业时间
2024-2025学年第二学期第一周至第三周,逾期不再受理。
五、转专业具体办理程序
1.转专业申请及审批流程,需在外围十大玩球app本科教务管理系统(以下简称“教务系统”)上完成。
2.2025年1月3日前,学院教学秘书在教务系统上完成本学院接收转专业条件设置。
3.2025年2月17日-2月18日,学生在教务系统上提交转专业申请。
4.2025年2月19日,学院在教务系统上审批本学院学生的转出申请。
5.2025年2月20日-2月21日,学院从教务系统上导出申请转入本院学生的名单,通知并组织符合基本条件的学生准备考试和考核。考核结束后,学院根据本院转专业计划和学生考核结果,确定转入学生名单并公示。
6.2025年2月22日-2月24日,学院组织拟转入学生参加考试和考核。考试和考核时间安排于学生填报志愿结束后进行。具体时间、地点待确定后公布于玩滚球的十大正规平台官网(http:/),申请转入本院的学生自行关注通知,不另行单独通知申请学生本人。
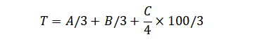
基础课程考试内容为高等数学(上),参加考试的学生获得考试成绩A(满分100分);学院将根据该考试成绩排序控制参加考核人数规模,原则上不超过各专业接受规模的2倍;专业考核,重点考核学生的专业素养、逻辑思维能力、语言表达能力以及心理素质等,各位参加考核的学生获得考核成绩B(满分100分)。
根据申请学生考试成绩A、考核成绩B和大一上学期原始成绩绩点C计算转专业综合成绩T,公式如下:

学院分专业按综合成绩T从高到低排序录取(同分情形下按考试成绩高低排序)确定各专业拟录取名单并在学院官网进行成绩公示。
7.2025年2月27日,学院在教务系统上审核转入学生的申请并将确定拟转入学生名单纸质版连同学院转专业工作相关情况的报告由学院主要负责人签署意见并加盖学院公章送本科生院审批。
8.2025年2月28日-3月6日,学校审批。待学校审批结束后,本科生院网页上公布获准转专业的学生名单。
9.2025年3月7日,转入学院教学秘书根据获准转专业学生名单,指导学生办理转专业的相关手续。
六、其他说明
1.学生应充分考虑本人的兴趣、专长及转专业控制计划数,严肃认真地对待此次转专业。转专业志愿一经提交,不得更改;转入专业一经确定,不得更换或撤销。
2.学生转专业后必须按照转入专业培养方案的要求,修完规定的课程和学分才能毕业。如果原专业已修公共必修课程要求不低于转入专业,则成绩有效,否则应重修;凡未列入玩滚球官网培养方案要求的课程及学分,可作为选修课成绩记载。
七、本细则在执行过程中涉及的有关未尽事宜,由学院党政联席会议负责解释。
玩滚球的十大正规平台
二Ο二四年十二月