(2025年1月修订)
2024级学生转学院按照《普通高等学校学生管理规定》(中华人民共和国教育部令第41号)《外围十大玩球app普通本科生转学院管理办法(试行)》(武大本字〔2024〕28号)《外围十大玩球app全日制普通本科招生章程》《外围十大玩球app高水平运动员学生学籍管理办法》(武大本字〔2022〕20号)中转学院的相关规定执行。
一、学生转学院的基本条件
1.热爱祖国,勤学上进,品行端正;
2.已取得我校学籍,且在校就读时间在一个学期以上、二年级及以下的学生;
3.了解转入学院专业基本情况,对该专业有兴趣和专长。
二、学生有下列情况之一者,不允许转学院
1.使用专业考试成绩录取的艺术类学生、强基计划学生、非西藏生源定向西藏就业学生;
2.戏剧影视文学、建筑学(中外合作办学)、马克思主义理论、公共卫生与预防医学类、护理学等单列专业的学生,其高考成绩低于同省、同科类、普通类专业录取最低分者的;
3.高水平运动队学生招生入学专业,除因学生身体原因不能适应专业学习外不得变更;
4.保送至小语种相关专业的学生;
5.四、五年制专业学生不得转入5+3一体化专业,四、五年制,5+3一体化专业学生不得转入八年制专业;
6.与学院签订不能转学院协议的;
7.正在休学或保留学籍或应予退学的学生;
8.其他根据教育部或省级教育行政部门、学校招生政策规定不能转专业的学生。
三、转学院规模
学院综合考量《外围十大玩球app普通本科生转专业管理办法(修订)》(武大本字〔2017〕50号)《外围十大玩球app普通本科生转学院管理办法(试行)》(武大本字〔2024〕28号)中的标准要求,玩滚球官网2025年春季拟接受转入本学院2024级学生有上限控制。
四、申请转入玩滚球官网相关专业的学生,还需具备下列条件:
1.高考入学为理科生,且必须有物理成绩;
2. 对所转专业有一定的特长和志向;
五、转学院时间
2024-2025学年第二学期第一周至第三周,逾期不再受理。
六、转学院具体办理程序
1.转学院申请及审批流程,需在外围十大玩球app本科教务管理系统(以下简称“教务系统”)上完成。
2.2025年1月3日前,学院教学秘书在教务系统上完成本学院接收转学院条件设置。
3.2025年2月17日-2月18日,学生在教务系统上提交转学院申请。
4.2025年2月19日,学院在教务系统上审批本学院学生的转学院申请。
5.2025年2月20日-2月21日,学院从教务系统上导出申请转入本院学生的名单,通知符合基本条件的学生准备考试和考核。
6.2025年2月22日-2月24日,学院组织拟转入学生参加考试和考核。当报名人数小于等于拟接收人数上限时,学部内的申请学生原则上全部接收,跨学部的将组织考核,对严重不符合学术要求的将不予接收。当报名人数大于拟接收人数上限时,会组织考核,遴选接收符合一定学术要求的学生。如果学部内报名人数少于拟接收人数上限的30%,则学部内申请者全部拟接收;否则学部内拟接收人数不少于30%。
考试和考核时间安排于学生填报志愿结束后进行。具体时间、地点待确定后公布于玩滚球的十大正规平台官网(http:/),申请转入本院的学生自行关注通知,不另行单独通知申请学生本人。
基础课程考试内容为高等数学(上),参加考试的学生获得考试成绩A(满分100分);学院将根据该考试成绩排序控制参加考核人数规模,原则上不超过接受规模的2倍;学院考核,重点考核学生的专业素养、逻辑思维能力、语言表达能力以及心理素质等,各位参加考核的学生获得考核成绩B(满分100分)。
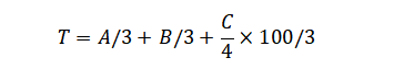
根据申请学生考试成绩A、考核成绩B和大一上学期原始成绩绩点C计算转学院综合成绩T,公式如下:

学院按综合成绩T从高到低排序录取(同分情形下按考试成绩高低排序)确定拟录取名单并在学院官网进行成绩公示。
7.2025年2月27日,学院在教务系统上审核转入学生的申请并将确定拟转入学生名单纸质版连同转学院工作相关情况的报告由学院主要负责人签署意见并加盖学院公章送本科生院审批。
8.2025年2月28日-3月6日,学校审批。待学校审批结束后,本科生院网页上公布获准转学院的学生名单。
9.2025年3月7日,学院教学秘书根据获准转学院学生名单,指导学生办理转学院的相关手续。
七、其他说明
1.学生应充分考虑本人的兴趣、专长及转学院计划数,严肃认真地对待此次转学院。转学院志愿一经提交,不得更改;转入专业一经确定,不得更换或撤销。
2.学生转学院后必须按照转入学院专业培养方案的要求,修完规定的课程和学分才能毕业。如果原专业已修公共必修课程要求不低于转入专业,则成绩有效,否则应重修;凡未列入玩滚球官网培养方案要求的课程及学分,可作为选修课成绩记载。
八、本细则在执行过程中涉及的有关未尽事宜,由学院党政联席会议负责解释。
玩滚球的十大正规平台
二Ο二五年一月